За допомогою мишки перетягніть відповідний обєкт на потрібне для нього місце
| Формула | Назва | Відповідь |
|---|---|---|
|
Молярна маса речовини |
|
|
Число N молекул речовини |
|
|
Кількість речовини |
|
|
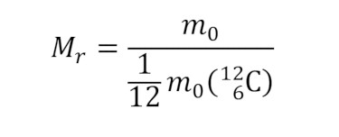
Відносна молекулярна (відносна атомна) маса |
|